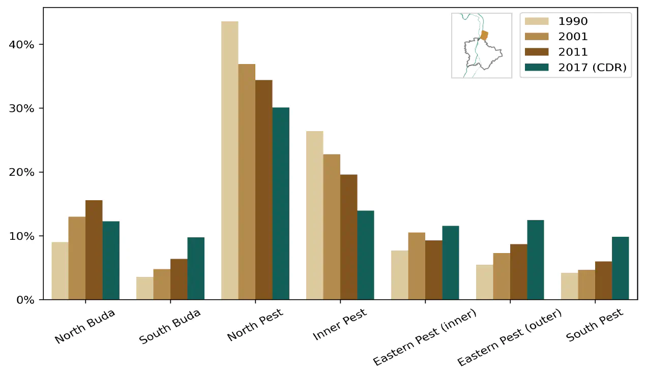
Commuting Analysis of the Budapest Metropolitan Area Using Mobile Network Data
ISPRS International Journal of Geo-Information. 2022, 11(9), 466
Posted in Papers on August 29, 2022 by Gergő Pintér and Imre Felde ‐ 2 min read
The published papers of the Ph.D. research:

ISPRS International Journal of Geo-Information. 2022, 11(9), 466
Posted in Papers on August 29, 2022 by Gergő Pintér and Imre Felde ‐ 2 min read

Information: 13 (3), 114
Posted in Papers on February 26, 2022 by Gergő Pintér and Imre Felde ‐ 2 min read

Information: 12 (11), 468
Posted in Papers on November 12, 2021 by Gergő Pintér and Imre Felde ‐ 2 min read

ISPRS International Journal of Geo-Information, 2021, 10(5), 328
Posted in Papers on May 13, 2021 by Gergő Pintér and Imre Felde ‐ 1 min read